发布时间:2025-10-15 来源:Display insights
2025 年 7 月,韩国产业技术研究院(KITECH)Cho Kwan Hyun 团队在《ACS Applied Electronic Materials》期刊上发表了一项重要研究成果,提出通过调控真空抽速与二元溶剂配比协同控制毛细流动的创新策略,成功解决喷墨打印有机发光二极管(OLED)像素薄膜中普遍存在的 “咖啡环效应”,使薄膜厚度偏差降低 63.6%,器件发光效率最高提升 31.8%,为大尺寸、高分辨率喷墨打印 OLED 显示产业化提供关键技术支撑。
图1. 像素定义层(PDL)基板上喷墨打印过程及后续真空干燥过程的示意图
在显示技术领域,OLED 凭借自发光、高对比度、柔性可弯曲等优势成为下一代显示核心方向。当前主流 OLED 制造依赖真空蒸镀技术,存在材料利用率低(不足 30%)、设备成本高、难以规模化生产大尺寸面板等瓶颈。喷墨打印技术因非接触、按需沉积、材料利用率超 90% 等特点,被视为大尺寸 OLED 量产的理想方案。然而,喷墨打印后的液滴干燥过程中,溶剂蒸发引发的毛细流动会导致溶质向边缘聚集,形成 “咖啡环” 状不均匀薄膜,严重影响OLED 像素发光均匀性与器件寿命,成为制约该技术落地的核心障碍。
此前研究多聚焦于优化墨水黏度、表面张力等内在属性抑制毛细流动,但忽略了真空干燥这一关键外部工艺对液滴干燥动力学的影响。Cho团队首次系统探究真空抽速与二元溶剂配比对喷墨打印 OLED 发光层(EML)薄膜形成过程的调控机制,通过创新实验设计揭示毛细流动抑制的核心规律。
图2. 发光层油墨液滴的不同蒸发阶段示意图
该研究团队搭建了集成节流阀(TV)与实时显微镜的真空干燥系统,以控制真空抽速(TV 开度 100%、20%、10%、7%),并选用乙基 - 4 - 甲基苯甲酸酯(EMB,沸点 235℃)与 2 - 乙基己基苯甲酸酯(EHB,沸点 313℃)两种高沸点溶剂,按 8:2、5:5、2:8 体积比配制 EML 墨水(主体材料 CBP 与掺杂剂 Ir (mppy)₃按 10:1 混合)。通过实时观察液滴干燥过程,团队提出 “三阶段四特征点” 干燥模型:第一阶段(蒸发 I)为液滴从溢出状态收缩至与像素定义层(PDL)平齐的平面状态;第二阶段(蒸发 II)为平面状态过渡至底部暴露的四接触线状态;第三阶段(蒸发 III)为四接触线状态直至流动停止形成薄膜。
实验发现,真空抽速与溶剂配比通过调控蒸发阶段寿命影响毛细流动:一方面,提升真空抽速(如TV 100%)可显著缩短蒸发 I 寿命,减少溶质向边缘迁移时间 ——TV 100% 时液滴总干燥时间仅 17.6 秒(EMB (8):EHB (2) 配比),较 TV 7% 条件(90.8 秒)缩短 79.5%,有效抑制咖啡环效应;另一方面,高比例 EHB(如 2:8 配比)虽延长蒸发I 寿命,但因其蒸气压低,使蒸发 II 起始真空度更低,反而缩短蒸发 II 寿命,减弱毛细流动影响。
图3.不同真空抽速和二元溶剂配比下,各蒸发阶段发光层液滴的寿命:(a)TV开度100%、(b)TV开度20%、(c)TV开度10%、(d)TV开度7%;(e)真空腔体内达到平面状态点时的抽真空时间与真空度;(f)像素内部不同蒸发阶段的内部流动强度示意图
为量化评估咖啡环效应,团队引入无量纲时间因子 fcr(咖啡环效应相关系数,与溶剂黏度成正比、与蒸发寿命成反比)。结果显示,优化条件下(TV 100%+EMB (2):EHB (8))fcr 值较最低值提升 432%,对应薄膜厚度标准差从 127.6 nm(TV 7%+EMB (8):EHB (2))降至 46.5 nm,降幅达 63.6%,中心区域截面积从 0.341 μm² 增至 0.949 μm²,证明毛细流动得到有效抑制。
图4. 不同真空抽速与二元溶剂配比下,fcr与发光层薄膜横截面轮廓的分析:(a)总寿命中与咖啡环效应相关的fcr、(b)蒸发II阶段寿命中与咖啡环效应相关的fcr;(c)蒸发II阶段寿命对应的标准差散点图及趋势线、(d)蒸发II阶段寿命对应的中心截面积散点图及趋势线
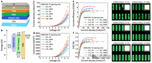
基于优化的干燥工艺,团队制备的 OLED 器件展现出优异性能。研究人员将OLED器件结构设计为 ITO/PDOT:PSS(空穴注入层)/EML/TPBi(电子传输层)/LiF(电子注入层)/Al(阴极),在 TV 100%+EMB (2):EHB (8) 条件下,发光效率较 TV 7%+EMB (8):EHB (2) 条件提升 31.8%。高分辨率电致发光(EL)图像显示,优化条件下像素发光区域更宽且均匀性更高,这得益于薄膜厚度偏差减小,避免局部电流密度过高导致的效率损耗。
值得注意的是,团队还发现蒸发 II 阶段是调控关键:蒸发 II 寿命缩短可减少溶质在边缘的二次聚集,即使蒸发 I 时间较长(如高 EHB 配比),仍能通过优化蒸发 II 抑制咖啡环效应。这一发现为墨水配方设计提供新方向 —— 无需过度追求低沸点溶剂以加速干燥,可通过高沸点溶剂配比与真空工艺协同实现均匀成膜。
图5. 不同真空抽速与二元溶剂配比下,含真空干燥发光层(EML)的有机发光二极管(OLED)器件特性分析:(a)OLED 器件结构、(b)能带结构图、(c)电压 - 电流密度曲线、(d)电压 - 亮度曲线、(e)电流密度 - 电流效率曲线、(f)电流密度 - 外量子效率(EQE)曲线
Cho Kwan Hyun 教授表示,该研究首次建立真空干燥工艺参数与薄膜均匀性的量化关系,为喷墨打印 OLED 产业化提供明确优化路径。下一步团队将探索该策略在全彩像素阵列与柔性基板上的应用,推动大尺寸高分辨率 OLED 电视、柔性显示等产品的成本降低与性能提升。
来源:Youngwook Noh,《Capillary Flow Control in Vacuum Drying for Uniform Pixel Thin Films in Inkjet-Printed OLEDs: Effects of Pumping Speed and Binary Solvent Ratios》